The clock strikes 5 o’clock in your London office. You rise from your desk, cross the room, walk into the transporter machine and enter your address. A moment later, you are lying on your couch in your Sydney home. This is the dream of every commuter: teleportation. It is the ability to essentially instantly travel anywhere in the world. From Harry Potter to Star Trek, teleportation is a mainstay of speculative fiction. Could it ever become reality?
Sadly, truly instantaneous travel is physically impossible. This is because the universe has an absolute speed limit that nothing can ever travel faster than: the speed of light. Fortunately, the speed of light is 300 000 km/s, which is extremely fast! No two places on Earth are more than 20 000 km apart which means that at the speed of light you could travel anywhere in the world in 67 milliseconds. Since this is less than the blink of an eye, it is fast enough that no-one would notice it was not technically instantaneous. So, let us satisfy ourselves with travelling at, or close to, the speed of light.
The Dangers of Moving Too Fast
The most obvious way to do this is just to move extremely fast. It is impossible for anything with mass (like a human body) to reach the speed of light, but you can certainly get 99% of the way there – close enough that no-one will notice the difference. There are just two problems – it will cost all the money in the world, and it will incinerate you.
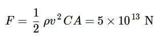
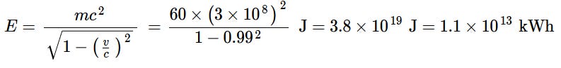
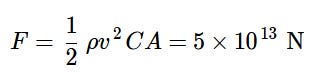
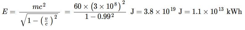
Let’s start with the money. Accelerating yourself to 99% of the speed of light would use a lot of energy – about ten trillion kilowatt-hours.1 On current consumption, this is about as much energy as the whole world uses over a period of three weeks, so you might find that you can’t power your teleportation machine by plugging it in to the wall socket! Nevertheless, you could generate enough energy by covering the Sahara Desert in solar panels. Solar power is now so cheap (7c/kWh) that this is probably the most affordable option. Unfortunately, generating ten trillion kilowatt-hours of energy in this way would cost about seven hundred billion dollars. This means that your daily commute would cost more than the total monetary value of all other economic activity in the whole world for that day. That’s a little too expensive!
This is only a temporary problem as electricity prices are likely to fall over the coming centuries. Unfortunately, incineration may be a more permanent issue. The air is a fluid, just like water, so you have to push your way through it as you move. This pushing means some of the energy you use is wasted. Instead of movement, this wasted energy generates heat. Because the air is not very dense, at low speeds this is barely noticeable, but it becomes more significant at higher speeds. A spacecraft re-entering the atmosphere at 8 km/s can be heated up to 1500 degrees Celsius. It is only with extremely sophisticated heat shielding that humans can survive moving through the air at such a speed. However, at this speed it would take 35 minutes to travel from London to Sydney, which would be nice but is certainly not teleportation. At our target speed of 99% of the speed of light, you would heat up so much that you would become the hottest thing in the universe,2 millions of times hotter than the centre of the Sun. There is no conceivable way to survive this. One way or another, you’re not going to make it home this way.

Becoming Light
Of course, the sophisticated worker of 2022 may well feel that this all sounds very old-fashioned anyway. With remote work, we overcome the limitations of physical travel by instead transporting only some information about ourselves instead of our material selves. For example, when sending an email, we convert some of our thoughts into words. These words are converted to a light signal that contains the information of the words. This signal travels from our computer to another through optical fibres. Since the signal is made of light, it naturally travels at the speed of light. On the recipient’s computer, the light is converted back into readable words. The recipient then reads the words and incorporates the information into their mind. Emails are therefore a way to send thoughts from one person to another at the speed of light. A video call (e.g., on Skype or Zoom) is similar but sends more of our information. In this case, our computer continuously scans our appearance and the sounds we make, converts them into a light signal that contains the information it collects and sends this signal at the speed of light, and then this signal is used to reproduce our appearance and sounds on the recipient’s computer. By doing so we send more of ourselves than just some of our thoughts as words – we send our own image and voice at the speed of light.
The trick to teleportation (without being incinerated) is to take these technologies to the next level. Instead of scanning only your appearance and sounds, a teleporter machine would scan everything about you. It would collect information on every single atom in your body, convert this information to a light signal and then send it at the speed of light to your destination. The machine at the destination would then use this information to reconstruct an exact copy of you by assembling exactly the right atoms to match the original version of you. This copy would not just look and sound like you, it would share your thoughts, your memories and your subjective consciousness. It would be you. So, you would experience the process exactly as described in the opening; you could enter the teleporter in London and the next thing you knew you would be in your home in Sydney.
Could Teleportation Really Work?
This could work only if it is actually possible to scan every part of you so precisely that you can be reconstructed at your destination. Quantum mechanics seems to suggest that it is not. The Heisenberg Uncertainty Principle is a principle of quantum mechanics that says that it is physically impossible to measure everything about a system perfectly at the atomic scale. This seemingly makes teleportation impossible. However, in 1993 quantum teleportation was discovered, which can solve this problem! Quantum teleportation allows for a quantum state, which truly can contain all of the information about an object, to be sent from one place to another at the speed of light. Quantum teleportation does not violate the Heisenberg Uncertainty Principle because we never find out all of the information about the quantum state that is sent. Instead, we find out only partial information about the state but, through the quantum mechanical phenomenon of entanglement that introduces deep correlations between the sending and receiving devices, this partial information is sufficient to allow for the full state to be reconstructed at the destination. Quantum teleportation could make teleportation possible after all, provided that the teleporter is a quantum device that can measure and reconstruct quantum states, and where the entry and exit points are entangled with each other. So there does not appear to be any fundamental reason to believe that teleportation is impossible!
However, there is one more reason for concern. Imagine your colleague uses the teleporter before you. If you look closely at the entry point of the teleporter after they have used it, you will find that all of the atoms that made up their body remain but that the process of quantum teleportation has destroyed all other trace of them. It would look to you as though they have been vapourised! If you call them, they will tell you they are alive and well at home, but how do you know that it is really them? What if the teleporter does not transport you, but instead simply kills you and creates another copy of you at your destination? Would you follow your colleague into the machine?
If you believe that you are defined by the material that makes you up then surely you would not, as the machine converts this material from you into a lifeless vapour. Yet the material that makes us up is constantly changing as we incorporate new atoms through eating, drinking and inhaling, and lose old ones through excreting waste and exhaling. Yet this does not change who we are, because the new atoms are identical to the old ones they replace. A hydrogen atom that you were born with does not in any sense contain a special part of you – it is identical to those you would find in me, or in a virus, or in the ocean. That is why you should not abstain from bodily processes for fear of slowly destroying yourself. It is also why you need not fear that a teleporter would destroy you.
A New Information Age
It is not the particular set of atoms in your body that defines you. These atoms could just as well be used to make an entirely different person, or a lifeless pile of dirt. It is the precise configuration of these atoms – how they are arranged, how they interact and what states they are in – that makes you. This configuration is not matter; it is information. Traditionally, physics has focussed on studying matter. It has sought to understand the world through identifying fundamental particles and the forces that control their actions, culminating in the standard model of particle physics. Yet this is only part of the story. We can now see that to truly understand the world, and ourselves, we must understand information. In recent decades, information theory and physics have been unified to produce a new type of fundamental physics, epitomised by the field of quantum information theory. This has inspired both profound new insights about the natural world and emerging technologies like quantum computers.

Studying teleportation teaches us a fundamental principle of the physics of information; like energy, information can be converted into many different material manifestations. The fruition of the industrial age came when we learnt to convert the heat energy of a burning fuel into the more transmittable form of electrical energy. Perhaps we may dream that that the full fruition of the information age will similarly come if we one day learn to convert information in all its forms – even its human form – to more transmittable forms of information like light signals in optical fibres. For now, this is just science fiction, but it does not seem impossible that it could become a future reality. In the meantime, at least we understand the theory: the trick to moving fast is to become light.
Mathemal Footnotes
Assuming the drag coefficient of a person is C = 1, cross-sectional area is A = 0.001 square metres, and the density of air is ρ = 1.2 kilograms per cubic metre, the drag force on a person travelling at 99% of the speed of light would be:
Over the distance of 17000 km from London to Sydney, the amount of work this force would do is:
Assuming the specific heat capacity of the human body to be C = 3500 joules per kilogram per degree Celsius and a mass of m= 60 kg, this amount of work converted to heat would increase your temperature by:
which is far hotter than the hottest natural (supernovae at about 100 billion degrees Celsius) or artificial (in the Large Hadron Collider at about 6 trillion degrees Celsius) temperatures in the universe. Also note that we have found that the energy lost to heat is 22 times the kinetic energy, so the true amount of energy you would need is 23 times larger than we calculated in the previous paragraph. So, we should add another 16 trillion dollars to our energy budget!
Great post!
I am curious about your conclusion that teleportation is safe though! even if i accept that it's the patterns that make me and not the physical matter, that doesn't solve the problem of whether i should get into one, in terms of the conscious experience of it. i mean sure the me at the other end will claim it all went fine, but the original me will die. i don't think i'll ever have a clear answer to what i think i should do! i guess it would depend on how necessary i think teleporting myself is.... would i use it on an everyday basis to travel shortish distances though? not sure...
So interesting and a little mind bending. You have a real gift for explaining your science. Thank you!